Administración Federal de Ingresos Públicos
REGIMEN DE FACILIDADES DE PAGO
Resolución General 3451
Régimen especial de regularización de deudas impositivas, aduaneras y de los recursos de la seguridad social.
Bs. As., 22/3/2013
VISTO la Actuación SIGEA Nº 13288-418-2013 del Registro de esta Administración Federal, y
CONSIDERANDO:
Que es política del PODER EJECUTIVO NACIONAL instrumentar medidas contracíclicas conducentes al desarrollo estructural de las empresas, a la generación de empleo, al mantenimiento de las fuentes de trabajo y al fortalecimiento del poder adquisitivo de los ciudadanos y, con ello, la consolidación de la demanda y del mercado interno nacional.
Que atendiendo al objetivo permanente de esta Administración Federal de propiciar la observancia de las distintas obligaciones tributarias, se considera oportuno facilitar con carácter de excepción, la regularización de la morosidad incurrida, sin que ello implique una condonación total o parcial, de deudas o liberación de los correspondientes accesorios.
Que en este sentido resulta procedente implementar un régimen especial de regularización de deudas impositivas, aduaneras y de los recursos de la seguridad social, con vencimiento de presentación y pago hasta el 28 de febrero de 2013.
Que se considera oportuno estipular que el plan pueda ser formulado hasta el 31 de julio de 2013, a los efectos de que los contribuyentes cuenten con la debida certeza jurídica para confeccionar el mismo y tomar las decisiones técnicas necesarias con el fin de analizar la conveniencia de adherir al plan y, de corresponder, desistir de otros caminos procesales.
Que resulta oportuno establecer 120 cuotas mensuales —como plazo máximo de pago—, el sistema de amortización de capital francés y una tasa de financiación del 1,35% mensual, no resultando necesario establecer un anticipo o pago a cuenta en virtud de que el establecimiento del régimen especial en cuestión surge de las políticas contracíclicas mencionadas.
Que en este entendimiento, y en función a cuestiones estratégicas que hacen a la política fiscal ejecutada por este Organismo, resultan excluidas, entre otras, las obligaciones impositivas generadas a partir del vencimiento del plazo establecido por el Artículo 2º del Decreto Nº 746 del 28 de marzo de 2003 y los cargos aduaneros con origen en la Ley Nº 26.351.
Que para una mejor comprensión e interpretación de las normas, es recomendable la utilización de notas aclaratorias y citas de textos legales, con números de referencia, explicitados en el Anexo I.
Que han tomado la intervención que les compete la Dirección de Legislación, las Subdirecciones Generales de Asuntos Jurídicos, de Recaudación, de Coordinación Técnico Institucional y de Sistemas y Telecomunicaciones, y las Direcciones Generales Impositiva, de Aduana y de los Recursos de la Seguridad Social.
Que la presente se dicta en ejercicio de las facultades conferidas por el Artículo 32 de la Ley Nº 11.683, texto ordenado en 1998 y sus modificaciones y por el Artículo 7° del Decreto Nº 618 del 10 de julio de 1997, sus modificatorios y sus complementarios.
Por ello,
EL ADMINISTRADOR FEDERAL
DE LA ADMINISTRACION FEDERAL
DE INGRESOS PUBLICOS
RESUELVE:
CAPITULO A – SUJETOS Y CONCEPTOS ALCANZADOS
Artículo 1° — Establécese un régimen especial de facilidades de pago destinado a la cancelación de:
a) Obligaciones impositivas y de los recursos de la seguridad social, cuyo vencimiento de presentación y pago haya operado hasta el 28 de febrero de 2013, inclusive, sus intereses, actualizaciones y multas.
b) Multas aplicadas o cargos suplementarios formulados por el servicio aduanero hasta el 28 de febrero de 2013, inclusive, por tributos a la importación o exportación, sus intereses y actualizaciones.
La cancelación de las obligaciones, multas y/o cargos suplementarios con arreglo a este régimen, no implica reducción alguna de intereses resarcitorios y/o punitorios, como tampoco liberación de las pertinentes sanciones o cargos suplementarios.
Art. 2° — Podrán regularizarse también mediante el régimen dispuesto por la presente:
a) El impuesto que recae sobre las erogaciones no documentadas, a que se refiere el Artículo 37 de la Ley de Impuesto a las Ganancias, texto ordenado en 1997 y sus modificaciones.
b) Las deudas derivadas de ajustes de inspección, en tanto el contribuyente conforme la pretensión fiscal.
c) Las deudas en discusión administrativa, contencioso-administrativa o judicial, así como en ejecución judicial, en tanto el contribuyente se allane o desista de toda acción y derecho por los conceptos y montos por los que formula el acogimiento, y asuma el pago de las costas y gastos causídicos, a cuyos fines se deberán observar las disposiciones del Capítulo G.
d) Obligaciones de cualquier tipo que hubieran sido incluidas en planes de facilidades de pago a través del Sistema “MIS FACILIDADES”, mediante la reformulación a que hace mención el Artículo 19 de la presente.
CAPITULO B – EXCLUSIONES
OBJETIVAS
Art. 3° — Quedan excluidos del presente régimen los conceptos que se indican a continuación:
a) Las retenciones y percepciones —impositivas o previsionales—, por cualquier concepto, practicadas o no, excepto los aportes personales correspondientes a los trabajadores en relación de dependencia.
b) Los anticipos y/o pagos a cuenta.
c) Los aportes y contribuciones destinados al Régimen Nacional de Obras Sociales, excepto los correspondientes a los sujetos adheridos al Régimen Simplificado para Pequeños Contribuyentes (RS).
d) Las cuotas destinadas a las Aseguradoras de Riesgos del Trabajo (ART).
e) Los aportes y contribuciones con destino al régimen especial de seguridad social para empleados del servicio doméstico.
f) Las contribuciones y aportes personales fijos por los trabajadores en relación de dependencia de sujetos adheridos al Régimen Simplificado para Pequeños Contribuyentes (RS), devengados hasta el mes de junio de 2004.
g) La contribución mensual con destino al Registro Nacional de Trabajadores y Empleadores Agrarios (RENATEA).
h) Las cuotas de planes de facilidades de pago vigentes —no reformulados en los términos del inciso d) del Artículo 2º—.
i) Los intereses —resarcitorios y punitorios—, multas y demás accesorios relacionados con los conceptos mencionados en los incisos precedentes.
j) El impuesto Adicional de Emergencia sobre el Precio Final de Venta de Cigarrillos, sus intereses —resarcitorios y punitorios—, multas y demás accesorios —Ley Nº 24.625 y sus modificaciones—.
k) Las obligaciones de los impuestos a las Ganancias y a la Ganancia Mínima Presunta, correspondientes a los ejercicios fiscales finalizados a partir del 1 de octubre de 2012, inclusive, y al Impuesto sobre los Bienes Personales por los períodos fiscales posteriores a 2011.
l) El impuesto al valor agregado que se debe ingresar por las prestaciones de servicios realizadas en el exterior cuya utilización o explotación efectiva se lleve a cabo en el país, a que refiere el inciso d) del Artículo 1° de la Ley de Impuesto al Valor Agregado texto ordenado en 1997 y sus modificaciones.
m) Las obligaciones impositivas derivadas del vencimiento del plazo establecido por el Artículo 2° del Decreto Nº 746 del 28 de marzo de 2003.
n) Los cargos aduaneros originados por incumplimiento a lo dispuesto por el Artículo 1° de la Ley Nº 26.351, y sus normas reglamentarias.
SUBJETIVAS
Art. 4° — Se encuentran excluidas las obligaciones correspondientes a los sujetos denunciados penalmente por delitos previstos en las Leyes Nros. 22.415, 23.771 o 24.769 y sus respectivas modificatorias y complementarias, o por delitos comunes que tengan conexión con el incumplimiento de sus obligaciones impositivas, de los recursos de la seguridad social o aduaneras.
CAPITULO C – CONDICIONES DE LOS PLANES DE FACILIDADES DE PAGO
Art. 5° — El plan de facilidades de pago deberá reunir las siguientes condiciones:
a) La cantidad máxima de cuotas a otorgar será de CIENTO VEINTE (120).
b) Las cuotas serán mensuales, iguales y consecutivas. El cálculo de cada cuota se realizará conforme se indica en el Anexo II.
c) El monto de cada cuota deberá ser igual o superior a CIENTO CINCUENTA PESOS ($ 150.-).
d) La tasa de interés mensual de financiamiento será de UNO CON TREINTA Y CINCO CENTESIMOS POR CIENTO (1,35%).
Art. 6° — Será condición excluyente para adherir al plan de facilidades de pago, que las declaraciones juradas determinativas y/o informativas de las obligaciones impositivas y de los recursos de la seguridad social, por las que se solicita la cancelación financiada, se encuentren presentadas a la fecha de adhesión al régimen.
CAPITULO D – ADHESION, REQUISITOS Y FORMALIDADES
Art. 7° — La adhesión al régimen previsto en esta resolución general, podrá solicitarse por única vez y hasta el día 31 de julio de 2013, inclusive. A tales fines, se deberá:
a) Consolidar la deuda a la fecha de adhesión.
b) Remitir a esta Administración Federal mediante transferencia electrónica de datos vía “Internet”, utilizando la “Clave Fiscal”, conforme a los procedimientos dispuestos por las Resoluciones Generales Nros. 1.345 y 2.239, sus respectivas modificatorias y complementarias:
1. El detalle de los conceptos e importes de cada una de las obligaciones que se regularizan y el plan de facilidades de pago que se solicita (7.1.) ingresando a la opción “PLAN DE FACILIDADES DE PAGO RG 3.451” del sistema informático denominado “MIS FACILIDADES” disponible en el sitio “web” de este Organismo (http://www.afip.gob.ar) (7.1.), cuyas características, funciones y aspectos técnicos para su uso se especifican en el Anexo III de la presente.
2. La Clave Bancaria Uniforme (C.B.U.) de la cuenta corriente o de la caja de ahorro de la que se debitarán los importes correspondientes a la cancelación de cada una de las cuotas (7.2.).
3. Apellido y nombres, teléfono y carácter del responsable de la confección del plan (presidente, contribuyente, persona debidamente autorizada, etc.) para recibir comunicaciones vinculadas con el régimen que faciliten su diligenciamiento a través del servicio “e-Ventanilla” que obra en el sitio “web” de esta Administración Federal (7.3.).
c) Generar a través del sistema informático el formulario de declaración jurada Nº 1003.
d) Imprimir el acuse de recibo de la presentación realizada (7.4.).
Art. 8° — La solicitud de adhesión al presente régimen se considerará aceptada, siempre que se cumplan, en su totalidad, las condiciones y los requisitos previstos en esta resolución general.
La inobservancia de cualquiera de ellos determinará el rechazo del plan propuesto.
Art. 9° — Las solicitudes de adhesión que resulten rechazadas se considerarán anuladas y se deberá presentar, en su caso, una nueva solicitud de adhesión por las obligaciones que corresponda incluir.
En tal supuesto, los importes ingresados en concepto de cuotas no se podrán imputar a cuotas de planes de facilidades de pago.
CAPITULO E – INGRESO DE LAS CUOTAS
Art. 10. — Las cuotas vencerán el día 16 de cada mes, a partir del mes inmediato siguiente a aquel en que se consolide la deuda y se formalice la adhesión conforme al Capítulo D, y se cancelarán mediante el procedimiento de débito directo en cuenta bancaria, a cuyos fines se deberá observar lo que se dispone en el Anexo IV.
En caso que a la fecha de vencimiento general fijada en el párrafo anterior no se hubiera efectivizado la cancelación de la respectiva cuota, se procederá a realizar un segundo intento de débito directo de la cuenta corriente o caja de ahorro, el día 26 del mismo mes, incluyendo los intereses resarcitorios devengados hasta esa fecha.
Las cuotas que no hubieran sido debitadas en la oportunidad indicada en el párrafo precedente, así como los respectivos intereses resarcitorios, se debitarán el día 12 del mes inmediato siguiente, siempre que el contribuyente hubiera solicitado la rehabilitación de las mismas.
Cuando los días de vencimiento fijados para el cobro de las cuotas coincidan con días feriados o inhábiles, se trasladarán al primer día hábil inmediato siguiente. De tratarse de un día feriado local, el débito de las cuotas se efectuará durante los días subsiguientes, según las particularidades de la respectiva operatoria bancaria.
Art. 11. — Los sujetos que adhieran al presente régimen podrán solicitar la cancelación anticipada de la deuda comprendida en los planes de facilidades de pago, a través del sistema “MIS FACILIDADES”, a partir del mes en que se produce el vencimiento de la segunda cuota del plan de facilidades de pago de que se trate.
En caso que la cancelación sea total, a efectos de la determinación del respectivo importe, se considerarán las cuotas vencidas e impagas y no vencidas, sin tener en cuenta el resultado del débito de la cuota del mes en que se solicita la cancelación anticipada.
Cuando se solicite la cancelación anticipada parcial, la misma comprenderá sólo las cuotas con vencimiento a partir del mes siguiente al de la solicitud y deberá efectuarse por el importe de la cuota capital más los intereses de financiamiento.
El sistema “MIS FACILIDADES” calculará el monto de la deuda que se pretende cancelar —capital más intereses de financiamiento— al día 12 del mes siguiente de efectuada la solicitud de cancelación anticipada, fecha en la cual será debitado de la cuenta bancaria habilitada.
De tratarse de un día feriado o inhábil —nacional o local— el débito del importe que corresponda se efectuará el primer día hábil posterior siguiente, de acuerdo con lo dispuesto en el Artículo 10.
Art. 12. — El ingreso fuera de término de cualquiera de las cuotas del plan de facilidades de pago, devengará por el período de mora los intereses resarcitorios establecidos en el Artículo 37 de la Ley Nº 11.683, texto ordenado en 1998 y sus modificaciones.
Los intereses resarcitorios se ingresarán juntamente con la respectiva cuota, conforme a la metodología de débito y en la fecha indicada en el Artículo 10.
CAPITULO F – CADUCIDAD. CAUSAS Y EFECTOS
Art. 13. — La caducidad del plan de facilidades de pago, operará de pleno derecho y sin necesidad de que medie intervención alguna por parte de este Organismo ante la falta de cancelación de:
a) DOS (2) cuotas, consecutivas o alternadas, a los SESENTA (60) días corridos posteriores a la fecha de vencimiento de la segunda de ellas, o
b) una cuota, a los SESENTA (60) días corridos contados desde la fecha de vencimiento de la última cuota del plan.
Una vez operada la caducidad —situación que se pondrá en conocimiento del contribuyente a través de una comunicación que se le cursará por el servicio “e-Ventanilla” (13.1.) al que accederá con su “Clave Fiscal”—, el juez administrativo competente, dentro de las CUARENTA Y OCHO (48) horas, deberá disponer el inicio o prosecución, según corresponda, de las acciones judiciales tendientes al cobro del total adeudado.
Los contribuyentes y/o responsables, una vez declarada la caducidad del plan de facilidades de pago, deberán cancelar el saldo pendiente de deuda mediante depósito bancario o transferencia electrónica de fondos, conforme a las disposiciones las Resoluciones Generales Nº 1.217 y su modificación y Nº 1.778, su modificatoria y complementarias, respectivamente.
CAPITULO G – DEUDAS EN DISCUSION ADMINISTRATIVA, CONTENCIOSO-ADMINISTRATIVA O JUDICIAL. PROCEDIMIENTO APLICABLE
Art. 14. — En el caso de incluirse en el plan de facilidades de pago deudas en discusión administrativa, contencioso-administrativa o judicial, los contribuyentes y/o responsables —con anterioridad a la fecha de adhesión— allanarse o desistir de toda acción y derecho por los conceptos y montos por los que formula el acogimiento, mediante la presentación del formulario de declaración jurada Nº 408 (Nuevo Modelo) en la dependencia de este Organismo en la que se encuentren inscriptos y que resulte competente para el control de las obligaciones fiscales por las cuales se efectúa la adhesión al presente régimen.
La citada dependencia, una vez verificada la pertinencia del trámite y realizado el correspondiente control, entregará al interesado la parte superior del referido formulario debidamente intervenido, quien deberá presentarlo ante la instancia administrativa, contencioso-administrativa o judicial en la que se sustancia la causa.
Acreditada en autos la incorporación al plan de facilidades de pago, firme la resolución judicial que tenga por formalizado el desistimiento o allanamiento a la pretensión fiscal y una vez cancelado en su totalidad el referido plan de pagos, este Organismo podrá solicitar al juez el archivo de las actuaciones.
En caso que la solicitud de adhesión resulte anulada, o se declare el rechazo o caducidad del plan de facilidades de pago, por cualquier causa, esta Administración Federal proseguirá con las acciones destinadas al cobro de la deuda en cuestión, conforme a la normativa vigente.
Art. 15. — Cuando se trate de deudas en ejecución judicial por las que se hubiera trabado embargo sobre fondos y/o valores de cualquier naturaleza, depositados en entidades financieras o sobre cuentas a cobrar, así como en los casos que se hubiera efectivizado la intervención judicial de caja, la dependencia interviniente de este Organismo —una vez acreditada la adhesión al régimen y la presentación del formulario de declaración jurada Nº 408 (Nuevo Modelo)— dispondrá el levantamiento de la respectiva medida cautelar.
Si el embargo se hubiera trabado sobre depósitos a plazo fijo, el levantamiento se comunicará una vez producido su vencimiento.
En el supuesto de una medida cautelar que se hubiera efectivizado sobre fondos o valores depositados en cajas de seguridad, el levantamiento deberá disponerlo el juez que la hubiera decretado.
En cualquiera de las circunstancias señaladas en los párrafos precedentes, con carácter previo al levantamiento, se procederá a transferir las sumas efectivamente incautadas con anterioridad a la solicitud de acogimiento al plan de facilidades de pago.
Las restantes medidas cautelares se mantendrán vigentes y a pedido del interesado, podrán sustituirse por otra medida precautoria o por garantía suficiente a satisfacción de esta Administración Federal.
La falta de ingreso del total o de la primera cuota del plan de pagos de los honorarios, a que se refiere el Artículo 16 de la presente, no obstará al levantamiento o sustitución de las medidas aludidas precedentemente, siempre que se cumpla con los demás requisitos y condiciones dispuestos para adherir al plan de facilidades de pago.
El levantamiento de embargos alcanzará únicamente a las deudas incluidas en el respectivo plan.
Art. 16. — La cancelación de los honorarios devengados en ejecuciones fiscales o en juicios donde se discutan deudas incluidas en este plan de facilidades de pago, se efectuará en cuotas mensuales, iguales y consecutivas, que no podrán exceder de DOCE (12), no devengarán intereses y su importe mínimo será de SETENTA Y CINCO PESOS ($ 75.-) (16.1.).
La primera cuota se abonará según se indica a continuación:
a) Si a la fecha de adhesión al plan de facilidades de pago, existiera estimación administrativa o regulación judicial firme de honorarios: dentro de los DIEZ (10) días hábiles administrativos contados desde la adhesión, debiéndose informar dicho ingreso dentro del plazo de CINCO (5) días hábiles administrativos de haberse producido, mediante una nota, en los términos de la Resolución General Nº 1.128, ante la dependencia de este Organismo en la que revista el agente judicial actuante.
b) Si a la fecha de adhesión al plan de facilidades de pago no existiera estimación administrativa o regulación judicial firme de honorarios: dentro de los DIEZ (10) días hábiles administrativos siguientes contados a partir de aquel en que queden firmes, debiéndose informar dicho ingreso dentro del plazo de CINCO (5) días hábiles administrativos de haberse producido el mismo, por nota, de acuerdo con lo previsto por la Resolución General Nº 1128, que se presentará en la respectiva dependencia de este Organismo.
Las restantes cuotas vencerán el día 20 de cada mes a partir del primer mes inmediato siguiente al vencimiento de la primera cuota indicada en los incisos a) y b) precedentes.
A tales fines se reputarán firmes las estimaciones administrativas o regulaciones de honorarios no impugnadas por el contribuyente y/o responsable o por el administrado, según corresponda, ante el juez o tribunal interviniente, dentro de los CINCO (5) días hábiles administrativos siguientes a su notificación (16.2.).
La caducidad del plan de facilidades de pago de honorarios operará cuando se produzca la falta de pago de cualquiera de las cuotas a los TREINTA (30) días corridos de su vencimiento. En tal supuesto procederá el reclamo judicial del saldo impago a la fecha de aquélla.
El ingreso de los honorarios mencionados deberá cumplirse atendiendo a la forma y condiciones establecidas por la Resolución General Nº 2.752.
Art. 17. — El ingreso de las costas —excluidos honorarios— se realizará y comunicará de la siguiente forma:
a) Si a la fecha de adhesión existiera liquidación firme de costas: deberá ser efectuado dentro de los DIEZ (10) días hábiles administrativos inmediatos posteriores a la citada fecha, e informado dentro de los CINCO (5) días hábiles administrativos, mediante nota, en los términos de la Resolución General Nº 1.128, en la dependencia correspondiente de este Organismo.
b) Si a la fecha de adhesión no existiera liquidación firme de costas: su ingreso deberá ser realizado dentro de los DIEZ (10) días hábiles administrativos contados desde la fecha en que quede firme la liquidación judicial o administrativa, debiendo informarse dicho ingreso dentro del plazo de CINCO (5) días hábiles administrativos de haberse producido el mismo, mediante nota conforme a lo previsto por la Resolución General Nº 1.128, en la dependencia interviniente de esta Administración Federal.
Art. 18. — En caso que el deudor no abonara los honorarios y/o costas en las formas, plazos y condiciones establecidas en este capítulo, se iniciarán o proseguirán, en su caso, las acciones destinadas al cobro de los mismos, conforme a la normativa vigente.
CAPITULO H – REFORMULACION DE PLANES VIGENTES
Art. 19. — Las deudas incluidas en planes de facilidades de pago que se encuentren vigentes al día de publicación de la presente resolución general y que hubieran sido exteriorizadas mediante el sistema “MIS FACILIDADES”, podrán ser reformuladas, conforme a las condiciones que se indican a continuación:
a) Los planes podrán reformularse en la medida que se encuentren vigentes —incluidos los rehabilitados—. La reformulación de cada plan de facilidades se efectuará en el citado sistema, utilizando la opción “Reformulación de Plan”, bajo las siguientes condiciones:
1. La reformulación será optativa y el contribuyente decidirá cuáles de sus planes de facilidades de pago vigentes reformulará.
2. En cada plan de facilidades de pago seleccionado el sistema identificará como reformuladas las obligaciones impagas susceptibles de ser incluidas en el régimen de la presente.
3. De existir obligaciones no susceptibles de ser incluidas en este régimen se continuará con el plan de facilidades de pago original, manteniendo las condiciones del mismo.
b) Se generará un nuevo plan de facilidades de pago con las condiciones que se establecen por esta resolución general, el que contendrá las obligaciones susceptibles de ser regularizadas de todos los planes de facilidades de pago identificados como reformulados y las nuevas obligaciones incluidas por el contribuyente. A estos efectos el sistema mostrará la lista de planes de facilidades de pago vigentes.
1. En el caso de tener una misma obligación en más de un plan de facilidades de pago, se sumarán los importes de las obligaciones principales incluidas, excepto para el caso de trabajadores autónomos y de sujetos adheridos al Régimen Simplificado para Pequeños Contribuyentes (RS), respecto de los cuales se mostrará el importe de la obligación mensual.
2. De adeudarse únicamente intereses, se deberá ingresar en forma manual la obligación principal y el pago realizado, calculando el sistema los intereses correspondientes.
3. El plan se consolidará a la fecha del envío como un único plan que comprenderá las obligaciones seleccionadas de todos los anteriores y las nuevas que se pretendan regularizar.
c) Una vez reformulado el o los planes de facilidades de pago y generado el nuevo plan, el sistema emitirá el acuse de recibo respectivo.
A los efectos previstos en este artículo, podrán ser también reformuladas las deudas incluidas en otros planes de facilidades de pago no mencionados en el primer párrafo, que se encontraren vigentes al día de la publicación de la presente. En este supuesto, deberán considerarse las obligaciones que componen el saldo resultante una vez imputados los pagos parciales efectuados de acuerdo con la normativa aplicable a cada plan.
CAPITULO I – DISPOSICIONES GENERALES
Art. 20. — La cancelación de las deudas en los términos de los planes de facilidades de pago previstos en la presente, siempre que se cumplan los requisitos y condiciones establecidos para la adhesión, así como para mantener su vigencia, habilita al responsable para:
a) Obtener el “Certificado Fiscal para Contratar” con los organismos de la Administración Nacional.
b) Usufructuar el beneficio de reducción de las contribuciones con destino al Régimen Nacional de la Seguridad Social, según lo dispuesto por el Artículo 21 de la Resolución General Nº 4.158 (DGI) y su modificatoria, con las limitaciones que prevé el Decreto Nº 814 del 20 de junio de 2001, sus modificatorios y complementarios.
c) Considerar regularizado el importe adeudado de acuerdo con lo previsto por el Artículo 24 de la Resolución General Nº 1.566, texto sustituido en 2010.
El rechazo del plan de facilidades de pago o su caducidad, por cualquiera de las causales autorizadas, determinará la pérdida de los beneficios indicados en el presente artículo, a partir de la notificación de la resolución respectiva.
Art. 21. — A los efectos de la interpretación y aplicación de la presente deberán considerarse, asimismo, la utilización de notas aclaratorias y citas de textos legales con números de referencia contenidas en el Anexo I.
Art. 22. — Apruébanse los Anexos I a IV que forman parte de esta resolución general.
Art. 23. — Las disposiciones de la presente entrarán en vigencia a partir del día de su publicación en el Boletín Oficial. El sistema informático estará operativo a partir del 15 de abril de 2013, inclusive.
Art. 24. — Déjase sin efecto la Resolución General Nº 2.774.
Art. 25. — Regístrese, publíquese, dése a la Dirección Nacional del Registro Oficial y archívese. — Ricardo Echegaray.
ANEXO I (Artículo 21)
NOTAS ACLARATORIAS
Y CITAS DE TEXTOS LEGALES
Artículo 7°.
(7.1.) Para utilizar el sistema informático denominado “MIS FACILIDADES”, se deberá acceder al sitio “web” de este Organismo (http://www.afip.gob.ar) e ingresar —además de la Clave Unica de Identificación Tributaria (C.U.I.T.)— la “Clave Fiscal” otorgada por esta Administración Federal.
El ingreso de la clave fiscal permitirá al contribuyente y/o responsable autenticar su identidad.
Los sujetos que no posean la aludida “Clave Fiscal” deberán gestionarla de acuerdo con las disposiciones de la Resolución General Nº 2.239, su modificatoria y sus complementarias.
La información transferida tendrá el carácter de declaración jurada y su validez quedará sujeta a la verificación de la veracidad de los datos ingresados por el contribuyente y/o responsable.
(7.2.) Los datos informados con relación al tipo de cuenta y/o al banco en el cual se encuentra radicada la misma podrán ser modificados por el contribuyente y/o responsable.
A los fines de proporcionar la nueva Clave Bancaria Uniforme (C.B.U.), se deberá acceder al sitio “web” de este Organismo (http://www.afip.gob.ar).
La sustitución de la citada clave tendrá efectos a partir del primer día hábil del mes inmediato siguiente, inclusive, al mes en que se efectuó el cambio, para el débito de las cuotas.
Cuando coexistan DOS (2) o más planes de un mismo contribuyente y/o responsable y éste desee utilizar diferentes cuentas de un mismo banco para que se efectúe el débito de las cuotas respectivas, tal circunstancia deberá ser previamente acordada por el responsable con la entidad bancaria. De igual manera deberá proceder en caso de modificar el número de cuenta por otro correspondiente a una cuenta de la misma entidad.
(7.3.) Al servicio “e-Ventanilla” se accederá con la “Clave Fiscal” del contribuyente o responsable.
(7.4.) Una vez finalizada la transmisión electrónica del detalle de los conceptos e importes de las deudas y el plan solicitado, el sistema emitirá el respectivo acuse de recibo de la presentación realizada.
Artículo 13.
(13.1.) Ver Nota (7.3.)
Artículo 16.
(16.1.) El importe resultará de dividir el monto total del honorario por DOCE (12). Si el monto resultante de cada cuota determinada resulta inferior a SETENTA Y CINCO PESOS ($ 75.-), se reducirá el número de ellas hasta alcanzar la suma indicada.
(16.2.) Conforme a lo previsto en el octavo artículo incorporado a continuación del Artículo 62 del Decreto Nº 1.397 del 12 de junio de 1979 y sus modificaciones, por el Decreto Nº 65 del 31 de enero de 2005.
ANEXO II (Artículo 5°)
DETERMINACION DE LAS CUOTAS
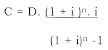
El monto de las cuotas a ingresar, que serán mensuales, iguales y consecutivas se calculará con la siguiente fórmula:
Donde:
“C” es el importe de la cuota a pagar al vencimiento (día 16 del mes siguiente a la consolidación del plan o cuota anterior).
“D” es la deuda consolidada del plan.
“i” es la tasa de interés mensual de financiamiento.
“n” es la cantidad de cuotas que posee el plan.
ANEXO III (Artículo 7°)
SISTEMA INFORMATICO “MIS FACILIDADES”
CARACTERISTICAS, FUNCIONES Y ASPECTOS TECNICOS
Este proceso informático permitirá informar las obligaciones impositivas y de los recursos de la seguridad social, determinando el monto total consolidado, por cada uno de estos conceptos, por el que se solicitará un plan de facilidades de pago.
Una vez obtenido el importe adeudado, el sistema le permitirá calcular las cuotas a cancelar, para luego transmitirlo electrónicamente, a efectos que se registre la adhesión al régimen que se reglamenta por la presente.
La veracidad de los datos que se consignen en el plan confeccionado será de exclusiva responsabilidad del contribuyente.
1. Descripción general del sistema
El sistema permitirá informar el detalle de cada una de las obligaciones adeudadas, que puedan regularizarse por el presente régimen, así como indicar la cantidad de cuotas en que se realizará su cancelación. Indicada tal cantidad, el sistema calculará el valor de las cuotas.
Además, generará los siguientes papeles de trabajo:
a) Detalle de las obligaciones que se pretenden regularizar.
b) Detalle de las cuotas.
c) Detalle de imputación de cuotas.
También generará el formulario de declaración jurada, que contendrá un resumen del total adeudado.
2. Requerimiento de “hardware” y “software”
El usuario deberá contar con una conexión de “Internet” a través de cualquier medio (telefónico, satelital, fibra óptica, cable módem o inalámbrica) con su correspondiente equipamiento de enlace y transmisión digital.
Asimismo, deberá disponer de un navegador (Browser) “Internet Explorer” o similar para leer e interpretar páginas en formatos compatibles.
3. Metodología para ingresar el detalle de las obligaciones adeudadas.
El sistema requerirá en forma obligatoria la carga de los siguientes datos:
a) Fecha de consolidación.
b) Tipo de deuda a regularizar: impositiva y/o previsional.
c) Clave Bancaria Uniforme (C.B.U.) en la que se debitarán cada una de las cuotas.
d) Número de teléfono.
Una vez ingresados estos cuatro datos, el usuario deberá indicar uno a uno los conceptos a incluir en el plan, los pagos imputados a esa deuda y si la deuda se encuentra en discusión judicial.
Con esa información el sistema determinará la deuda a regularizar, y requerirá al usuario que indique la cantidad de cuotas en las que cancelará el total consolidado, para posteriormente liquidar la primera cuota y siguientes.
De tratarse de deuda aduanera —cargos suplementarios de importación y/o exportación (autodeclaración)—:
a) El contribuyente efectuará una declaración previa al ingreso al sistema “MIS FACILIDADES” en el que registrará el plan, deberá acceder con “Clave Fiscal” al servicio “Deudas Aduaneras”, e ingresar los datos que el sistema requiera, a efectos de la determinación de la deuda y de la generación automática de una liquidación manual.
b) Ingresará a la aplicación “web” “MIS FACILIDADES” a efectos de que pueda seleccionarla e incluirla en un plan de facilidades.
c) Transmitirá electrónicamente la información de la deuda que se desea regularizar.
d) Como constancia de la presentación el sistema emitirá el acuse de recibo correspondiente.
ANEXO IV (Artículo 10)
A – DEBITO DIRECTO EN CUENTA BANCARIA
1. OPERATORIA RELACIONADA CON LOS DEBITOS
El débito directo en cuenta corriente o caja de ahorro preexistente del contribuyente y/o responsable o, en su caso, en “Caja de Ahorro Fiscal” o “Cuenta Corriente Especial Fiscal”, del Banco de la Nación Argentina, se efectuará por el importe total de la cuota bajo la denominación “Resolución General Nº 3.451”, el día 16 de cada mes.
En caso que a la fecha de vencimiento general fijada en el párrafo anterior no se hubiera podido efectuar el débito en la cuenta bancaria para la cancelación de la respectiva cuota, se procederá a realizar un nuevo débito directo de la cuenta corriente o caja de ahorro el día 26 del mismo mes.
Las cuotas que no hubieran sido debitadas en la oportunidad indicada en el párrafo precedente, así como sus intereses resarcitorios, se debitarán el día 12 del mes inmediato siguiente, siempre que el contribuyente hubiera solicitado la rehabilitación de las mismas.
Por consiguiente, a dichas fechas deberá estar disponible en la cuenta bancaria la suma necesaria para cancelar la cuota que vence y, en su caso, la correspondiente a los intereses resarcitorios.
Cuando los días de vencimiento fijados para el cobro de las cuotas, coincidan con días feriados o inhábiles se trasladarán al primer día hábil posterior siguiente. De tratarse de un día feriado local, el débito de las cuotas se efectuará durante los días subsiguientes, según las particularidades de la respectiva operatoria bancaria.
Asimismo, en caso de coincidir con el vencimiento de la cuota o mensualidad de otro plan de facilidades de pago vigente y no existan fondos suficientes para la cancelación de la totalidad de las obligaciones, esta Administración Federal no establecerá prioridad alguna para el cobro de ninguna de ellas.
2. COMPROBANTE DE PAGO
Será considerada como constancia válida el resumen emitido por la respectiva institución bancaria donde conste la Clave Unica de Identificación Tributaria (C.U.I.T.) del deudor y el importe de la cuota, así como la impresión con todos los datos de la obligación y del pago que emitirá el sistema informático habilitado por este Organismo.
B – CAJA DE AHORRO FISCAL O CUENTA CORRIENTE ESPECIAL FISCAL
Los contribuyentes y/o responsables interesados en utilizar la modalidad de pago Débito Directo en Caja de Ahorro Fiscal o Cuenta Corriente Especial Fiscal deberán solicitar en el Banco de la Nación Argentina, en cualquier sucursal o en la casa central, la apertura de una “Caja de Ahorro Fiscal” o “Cuenta Corriente Especial Fiscal”.
Para la apertura de la citada caja de ahorro o cuenta corriente se deberá presentar, en la sucursal del mencionado banco, la constancia de acreditación de inscripción ante esta Administración Federal.
1. CARACTERISTICAS DE LA “CAJA DE AHORRO FISCAL” O “CUENTA CORRIENTE ESPECIAL FISCAL”
El Banco de la Nación Argentina pactará con el contribuyente y/o responsable las condiciones de utilización de la “Caja de Ahorro Fiscal” o de la “Cuenta Corriente Especial Fiscal”, en base a las normas del Banco Central de la República Argentina (B.C.R.A.) vigentes para ello, excepto en lo relativo a los costos que a continuación se detallan, que serán sin cargo para el titular:
a) Costo de apertura y mantenimiento mensual.
b) Provisión de una tarjeta de débito al primer titular de la cuenta.
c) Emisión de resumen de cuenta, como mínimo en forma trimestral.
d) Operaciones de depósitos y extracciones.
e) Operaciones de débito automático para pagos de impuestos, recursos de la seguridad social y demás tributos recaudados por esta Administración Federal.
En las condiciones de apertura a pactar con el contribuyente y/o responsable, el Banco de la Nación Argentina deberá además tener en cuenta lo siguiente:
1.1. Depósito inicial: para la apertura de la “Caja de Ahorro Fiscal” o “Cuenta Corriente Especial Fiscal”, no podrá exigir al titular de la cuenta que deposite un importe inicial.
1.2. Otros titulares: podrá convenir con el contribuyente y/o responsable la inclusión de un segundo titular por él designado.
1.3. Moneda: en “pesos”.
1.4. Utilización de la “Caja de Ahorro Fiscal” o “Cuenta Corriente Especial Fiscal”: el contribuyente y/o responsable podrá utilizar estas cuentas bancarias para efectuar cualquiera de las operaciones previstas en las comunicaciones del Banco Central de la República Argentina (B.C.R.A.), lo cual significa que su uso no estará restringido a los débitos/créditos que ordene esta Administración Federal.
2. OPERATORIA RELACIONADA CON LOS DEBITOS Y COMPROBANTE DE PAGO
Respecto de la operatoria relacionada con los débitos y el comprobante de pago, será de aplicación lo establecido en el Apartado A precedente.


Comments are closed